Shaderprogrammering: Cheat sheet og ressurser
Cheat sheet og lenker til ressurser fra workshop holdt på Iteratekonferansen 16.11.22. Nøkkelord: shader, shaders, glsl, webgl, three.js, threejs
Cheat sheet
Datatyper, uniformer og funksjoner: https://thebookofshaders.com/glossary/
Komponenter i en vektor:
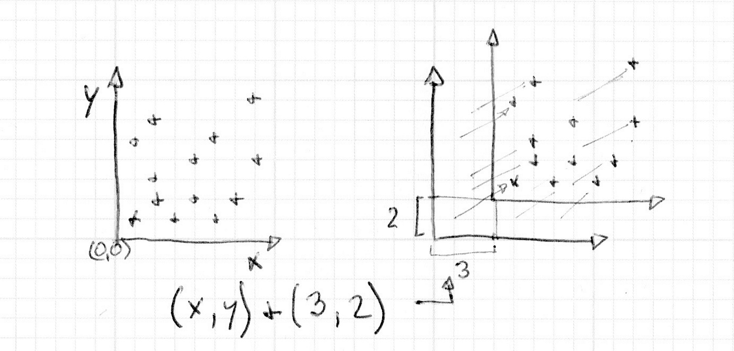
Matriseoperasjoner:
Translate:
Rotasjon:
Skalering:
Ressurser
Verktøy:
Modellere grafer:
Online editor for shadere:
Biblioteker for å rendere WebGL:
Verktøy for å kombinere og spille av three.js-scener: https://github.com/ninjadev/renin
Læring:
Introduksjon: https://thebookofshaders.com
Avansert/detaljert: https://iquilezles.org/
Spesifikt om raytracing (ikke sjekket selv, anbefalt av John): https://raytracing.github.io/
Shaping functions:
Image credits: www.flickr.com/photos/kynd/9546075099/
Andre kule og relaterte lenker:
Twitter men for demoer: https://www.dwitter.net
Demo playlist: https://www.youtube.com/playlist?list=PL1Ke5iVqj92EaD7uyXf763BP-FCkczqOY
Oversikt over publiserte demoer, compoer, og scoreboards: https://www.pouet.net/








